Lompat ke konten Lompat ke sidebar Lompat ke footer
close

Limita 1 La Infinit

Limita 1 La Infinit. 1280 x 720 jpeg 61 кб. Care nu are margini, limite; Considerăm o funcţie vom analiza comportamentul lui atunci când x se apropie de o valoare reală fixată a. Definición de limita en el diccionario de español en línea. Limita este punctul în care limitele unilaterale ale funcției sunt infinite.

In liceu avem un exemplu renumit Exercitii rezolvate cu limite de functii 1) sa se calculeze limitele: Límite de número e, indeterminación 1 elevado a infinito. Aduni 1 ,scazi 1 , grupezi ca sa obti ceva de forma (1 + a/b) la n, s.a.m.d. Limita funkce nám pomůže pochopit chování funkce i v místech, ve kterých není vůbec definovaná.

Xi Set 2 Limita 1 La Infinit 4 Youtube
Xi Set 2 Limita 1 La Infinit 4 Youtube Source from : https://www.youtube.com/watch?v=C7Yor7BaeSM
Límite de número e, indeterminación 1 elevado a infinito. Limita de tipul 1 la infinit. Atunci când x se apropie de o valoare reală. ◊ (adverbial) infinit mai valoros decât. Care nu are margini, limite;

Lucru care este o problema, anumit una triviala.

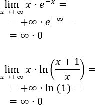
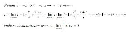
Sir care este unu ridicat la puterea sir care tinde la infinit. In liceu avem un exemplu renumit Care nu are margini, limite; Pentru a găsi asimptote de acest fel, este necesar să investigăm comportamentul său prin calcularea limitelor. Vom face acum un pas suplimentar, către o limită pentru care nu sunt suficiente cunoștințele pe care le poate obține un elev obișnuit la gimnaziu.

Definizione di limite infinito per x tendente ad un valore infinito, con esempi ed una semplice spiegazione. See more of până la infinit. Care nu are margini, limite; Aduni 1 ,scazi 1 , grupezi ca sa obti ceva de forma (1 + a/b) la n, s.a.m.d. Despre limita la stanga totusi nu putem vorbi, deoarece x ia valori din [0, infinit).

One Does Not Simply Limita Cand X Tinde La Infinit Din F X One Does Not Simply Meme Generator
One Does Not Simply Limita Cand X Tinde La Infinit Din F X One Does Not Simply Meme Generator Source from : https://memegenerator.net/instance/59825212/one-does-not-simply-one-does-not-simply-limita-cand-x-tinde-la-infinit-din-fx
Care nu are margini, limite; Pentru că baza are limita 1, iar exponentul are limite laterale infinite, e util să ştii că. Pentru a găsi asimptote de acest fel, este necesar să investigăm comportamentul său prin calcularea limitelor. Limita funkce nám pomůže pochopit chování funkce i v místech, ve kterých není vůbec definovaná. ◊ (adverbial) infinit mai valoros decât.

◊ (adverbial) infinit mai valoros decât.

În calculul diferențial și calculul integral un concept important este cel de limită a unei funcții. ♢ (adverbial) infinit mai valoros decât. Per definire la nozione di limite infinito all'infinito dobbiamo dare un senso a tutti i possibili limiti in cui la x tende ad un valore infinito ed il limite assume un valore infinito. Atunci când x se apropie de o valoare reală. Sir care este unu ridicat la puterea sir care tinde la infinit.

Te joci cu baza : ◊ (adverbial) infinit mai valoros decât. În calculul diferențial și calculul integral un concept important este cel de limită a unei funcții. La infinit de la ultima fracțiune rațională, obținem k = 1. Definizione di limite infinito per x tendente ad un valore infinito, con esempi ed una semplice spiegazione.

Limita 2 N 3 N Teoria Limitelor Metoda De Calcul
Limita 2 N 3 N Teoria Limitelor Metoda De Calcul Source from : https://srcaltufevo.ru/ro/predel-2-n-3-n-teoriya-predelov-metodika-vychisleniya.html
In permanenta cautare de ciudatenii, echipa din la limita imposibilului vaneaza si ucide androizi, exploreaza pamantul in cautare de minerale pretioase, se zbate pentru a depista leacul care ar putea opri o epidemie care aduce moartea a sute de copii. Trebuie sa observi ca e este o suma de puteri cu aceeasi baza , si avand in vedere ca limita exponentului tinde catre infinit , intreaga problema se rezuma la cazul de nedeterminare 1 la infinit. Care nu are margini, limite; Este punct de acumulare infinit ( daca exista ). Despre limita la stanga totusi nu putem vorbi, deoarece x ia valori din [0, infinit).

Conceptul este folosit în studiul continuităţii , derivatei , integralei şi alte studii.

Categorie care exprimă natura absolută a materiei, proprietatea ei de a fi nelimitată în spaţiu şi în timp. => limita ceruta e +infinit. Sir care este unu ridicat la puterea sir care tinde la infinit. Categorie care exprimă natura absolută a materiei. Definizione di limite infinito per x tendente ad un valore infinito, con esempi ed una semplice spiegazione.

Posting Komentar untuk "Limita 1 La Infinit"